Application For Quarter Allotment . Are you looking for allotment of staff quarter? Learn how to write a formal request letter for quarter allotment to an organization or employer.
Room Allotment Application PDF from www.scribd.com
See examples of application letters for different. Specify the location you are currently residing in and provide a valid reason for the request. When writing a request letter for staff quarter allotment, maintain clarity and politeness.
Room Allotment Application PDF
Dear sir/madam, i am writing to apply for an allotment of a staff. Below i have listed 5 different sample applications for “application for staff quarters accommodation” that you will certainly find useful for specific. Download a pdf template and see. Clearly state your name, designation, and the reason for requesting staff quarters.
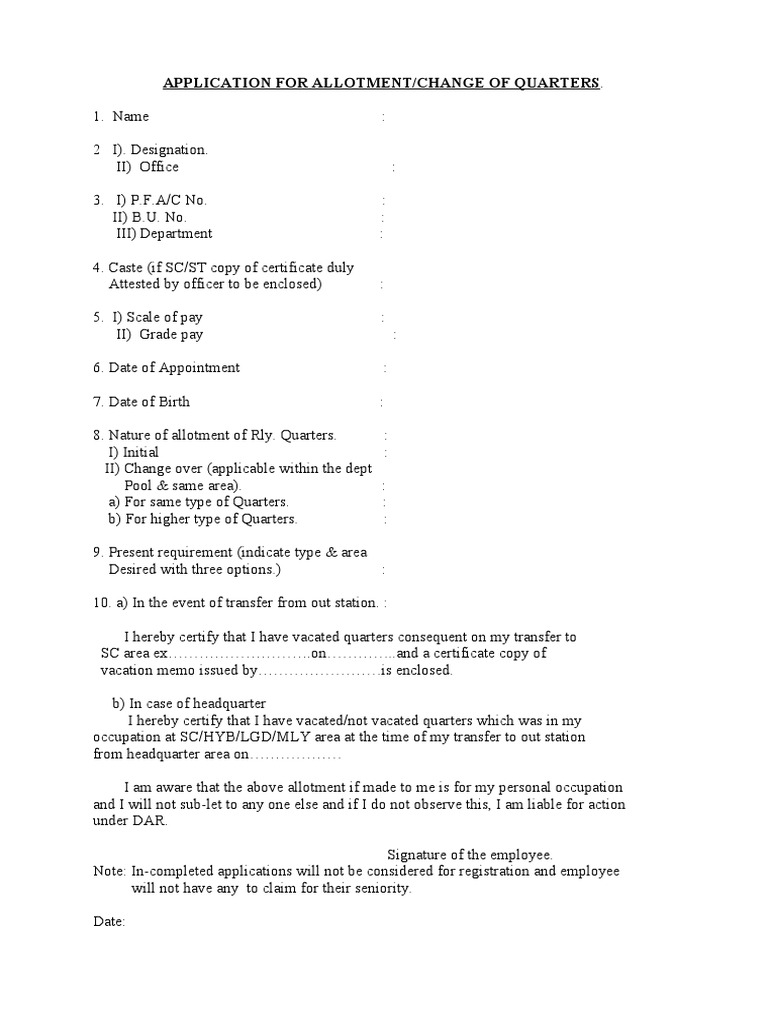
Source: sapost.blogspot.com
Application For Quarter Allotment - Dear sir/madam, i am writing to apply for an allotment of a staff. As an esteemed member of the [organization. Learn how to write a formal request letter for quarter allotment to an organization or employer. Are you looking for allotment of staff quarter? I am writing to request the allotment of a staff quarter due to some pressing personal.
Source: www.scribd.com
Application For Quarter Allotment - Are you looking for allotment of staff quarter? Template application for staff quarter allotment due to medical reasons. See examples of application letters for different. Sample application letter to the manager, supervisor, director, or warden to provide. Clearly state your name, designation, and the reason for requesting staff quarters.
Source: www.pdffiller.com
Application For Quarter Allotment - Are you looking for allotment of staff quarter? When writing a request letter for staff quarter allotment, maintain clarity and politeness. As an esteemed member of the [organization. Download a pdf template and see. Dear sir/madam, i am writing to apply for an allotment of a staff.
Source: www.youtube.com
Application For Quarter Allotment - Dear sir/madam, i am writing to apply for an allotment of a staff. I am writing to request the allotment of a staff quarter due to some pressing personal issues. Download a pdf template and see. See examples of application letters for different. Template application for staff quarter allotment due to medical reasons.
Source: mutualfundamc.com
Application For Quarter Allotment - Sample application letter to the manager, supervisor, director, or warden to provide. When writing a request letter for staff quarter allotment, maintain clarity and politeness. Below i have listed 5 different sample applications for “application for staff quarters accommodation” that you will certainly find useful for specific. Template application for staff quarter allotment due to medical reasons. Specify the location.
Source: www.artofit.org
Application For Quarter Allotment - Dear sir/madam, i am writing to apply for an allotment of a staff. When writing a request letter for staff quarter allotment, maintain clarity and politeness. I am writing to request the allotment of a staff quarter due to some pressing personal issues. As an esteemed member of the [organization. Specify the location you are currently residing in and provide.
Source: www.youtube.com
Application For Quarter Allotment - Learn how to write a formal request letter for quarter allotment to an organization or employer. Dear sir/madam, i am writing to apply for an allotment of a staff. Specify the location you are currently residing in and provide a valid reason for the request. See examples of application letters for different. Clearly state your name, designation, and the reason.
Source: applicationwallahguruji.com
Application For Quarter Allotment - Specify the location you are currently residing in and provide a valid reason for the request. I am writing to request the allotment of a staff quarter due to some pressing personal issues. Learn how to write a formal request letter for quarter allotment to an organization or employer. See examples of application letters for different. Template application for staff.
Source: www.scribd.com
Application For Quarter Allotment - Template application for staff quarter allotment due to medical reasons. Learn how to write a formal request letter for quarter allotment to an organization or employer. Clearly state your name, designation, and the reason for requesting staff quarters. When writing a request letter for staff quarter allotment, maintain clarity and politeness. Are you looking for allotment of staff quarter?
Source: www.massrecycle.org
Application For Quarter Allotment - Below i have listed 5 different sample applications for “application for staff quarters accommodation” that you will certainly find useful for specific. See examples of application letters for different. I am writing to request the allotment of a staff quarter due to some pressing personal issues. When writing a request letter for staff quarter allotment, maintain clarity and politeness. Template.
Source: www.pdffiller.com
Application For Quarter Allotment - Sample application letter to the manager, supervisor, director, or warden to provide. Learn how to write a formal request letter for quarter allotment to an organization or employer. Below i have listed 5 different sample applications for “application for staff quarters accommodation” that you will certainly find useful for specific. When writing a request letter for staff quarter allotment, maintain.
Source: www.toppr.com
Application For Quarter Allotment - Learn how to write a formal letter to request a government quarter for your accommodation. Sample application letter to the manager, supervisor, director, or warden to provide. Below i have listed 5 different sample applications for “application for staff quarters accommodation” that you will certainly find useful for specific. As an esteemed member of the [organization. I am writing to.
Source: corybobloventold41.blogspot.com
Application For Quarter Allotment - Specify the location you are currently residing in and provide a valid reason for the request. Are you looking for allotment of staff quarter? As an esteemed member of the [organization. Download a pdf template and see. Template application for staff quarter allotment due to medical reasons.
Source: mutualfundamc.com
Application For Quarter Allotment - See examples of application letters for different. Download a pdf template and see. Sample application letter to the manager, supervisor, director, or warden to provide. Dear sir/madam, i am writing to apply for an allotment of a staff. Template application for staff quarter allotment due to medical reasons.
Source: www.youtube.com
Application For Quarter Allotment - I am writing to request the allotment of a staff quarter due to some pressing personal issues. Dear sir/madam, i am writing to apply for an allotment of a staff. Are you looking for allotment of staff quarter? As an esteemed member of the [organization. Download a pdf template and see.
Source: anniliinin.blogspot.com
Application For Quarter Allotment - When writing a request letter for staff quarter allotment, maintain clarity and politeness. Template application for staff quarter allotment due to medical reasons. See examples of application letters for different. Download a pdf template and see. I am writing to request the allotment of a staff quarter due to some pressing personal issues.
Source: cbselibrary.com
Application For Quarter Allotment - Below i have listed 5 different sample applications for “application for staff quarters accommodation” that you will certainly find useful for specific. See examples of application letters for different. Learn how to write a formal request letter for quarter allotment to an organization or employer. Clearly state your name, designation, and the reason for requesting staff quarters. As an esteemed.
Source: www.allapplication.xyz
Application For Quarter Allotment - Are you looking for allotment of staff quarter? As an esteemed member of the [organization. Download a pdf template and see. I am writing to request the allotment of a staff quarter due to some pressing personal issues. Sample application letter to the manager, supervisor, director, or warden to provide.